2013年5月3日 星期五

2.1 the besection method 習題組 2.1 NO.4

Numerical Analysis數值分析筆記

2.1 The Bisection Method /

習題組 2.1 /


NO.4.
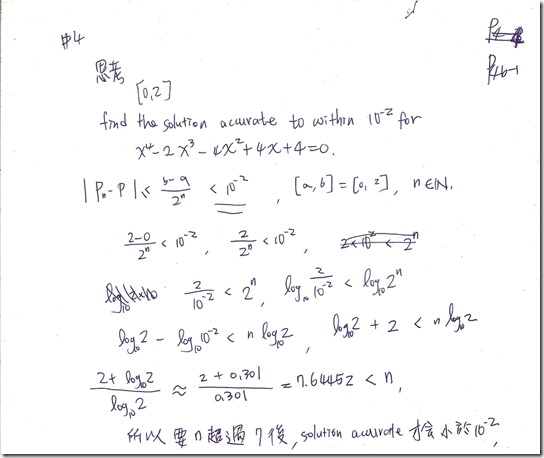
use the Bisection method to find solutions accurate to within $10^{-2}$ for $x^{4}-2x^{3}-4x^{2}+x+4=0$ on each interval.
  • 第01題 $\left[-2,\ -1\right]$
  • 第02題 $\left[0,\ 2\right]$
  • 第03題 $\left[2,\ 3\right]$
  • 第04題 $\left[-1,\ 0\right]$

第01題 | >>第02題<< | 第03題 | 第04題
2.1 NO.04b_01


C 語言程式:

  1. #include <stdio.h>
  2. /*前置處理指命,就是把stdio.h這個檔案(此檔案附於安裝編譯器的子資料夾下)的內容放在原始程式的最開頭*/
  3. #include <stdlib.h>
  4. /*為了避免結果一閃而過(在windowXP系統下會出現此情形,均需加上此程式)*/
  5. #include <math.h>       /**/
  6. float f(float x);
  7. int main(void)
  8.     int i=0,N=100;
  9.     float a=0,b=2,p=0.0,FA=0.0,FP=0.0;
  10.     float TOL=0.00001;
  11.     printf("n     an      bn     pn          f(pn)\n");
  12.     /*Step1*/
  13.     i=1;
  14.     FA=f(a);
  15.     /*Step2*/
  16.     while(i<=N)
  17.     {    /*Step3*/
  18.          p=a+(b-a)/2;
  19.          FP=f(p);
  20.     printf("%2d  %+.9f  %+.9f  %+.9f  %+.9f\n",i,a,b,p,f(p));    
  21.          /*Step4*/
  22.          if(FP==0 || (b-a)/2<TOL)
  23.          {printf("n=%d, p=%+f\n",i,p);break;}
  24.          /*Step5*/
  25.          i=i+1;
  26.          /*Step6*/
  27.          if(FA*FP>0){a=p;FA=FP;}
  28.          else b=p;
  29.          }
  30.     printf("method failed after N=%d iterations.",N);
  31.     /*Step*/
  32.     /*Step*/
  33.     /*Step*/
  34. system("PAUSE"); /*為了避免結果一閃而過(在windowXP系統下會出現此情形,均需加上此程式)*/
  35. return 0;       
  36.    }
  37. float f(float x)
  38. {
  39.       return pow(x,4)-2*pow(x,3)-4*pow(x,2)+4*x+4;
  40.       }

C 語言程式執行結果:

2.1  BisectionNO.4b


第01題 | >>第02題<< | 第03題 | 第04題

沒有留言:

張貼留言

國中會考數學114【01】

一、先看題目(不用怕) $   7^{10} \times 7^{2} \div 7^{4} $ 👉 先觀察一件事: 這一題裡面, 全部都是 7 ,沒有別的數字。 二、什麼是「7 的次方」? 🔹 用最簡單...